La binaria a eclissi totale UZ Draconis osservata con TESS
#stelle variabili @astronomia
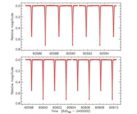
Un team di astronomi dell'Università di Keele ha utilizzato il telescopio TESS della NASA per studiare il sistema binario UZ Draconis, ottenendo dati più precisi sulle sue proprietà.
https://umbertogaetani.substack.com/p/la-binaria-a-eclissi-totale-uz-draconis












