If you want to learn how to analyse #RADseq data using #Stacks you can still join us for this course starting next week: https://www.physalia-courses.org/courses-workshops/course16/
#Evolution #Genomics #Bioinformatics #PopulationGenomics
RAD-seq data analysis

ONLINE, 27-31 October 2025 To foster international participation, this course will be held online

physalia-courses
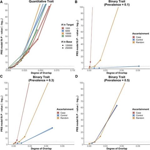
EraSOR: a software tool to eliminate inflation caused by sample overlap in polygenic score analyses

AbstractBackground. Polygenic risk score (PRS) analyses are now routinely applied across biomedical research. However, as PRS studies grow in size, there i

OUP Academic
EraSOR: a software tool to eliminate inflation caused by sample overlap in polygenic score analyses

AbstractBackground. Polygenic risk score (PRS) analyses are now routinely applied across biomedical research. However, as PRS studies grow in size, there i

OUP Academic

Bioinformatics research engineer position available in Roscoff, France. 18 Months contract.
The main role is genome assembly.

(Contact Thomas Broquet to have the english version, not available online yet).

https://www.sfbi.fr/emplois/offre/202506180242-cdd-ingenieur-e-de-recherche-bio-informaticien-en-genomique-comparative

@jobsecoevo #Job #ResearchEngineer #Bioinformatics #GenomeAssembly #PopulationGenomics #France

Ingénieur-e de recherche bio-informaticien en génomique comparative | SFBI Société Française de Bioinformatique

Emploi en bioinformatique à None CDD IR

You can still apply: Postdoc job opportunity! We're looking for early career researcher in evolutionary genomics to study the relation between intra-specific gene expression variability, polymorphism, and macro-evolutionary rates. We have all of the data in 3 fishes and amphioxus, just waiting for your expertise and enthusiasm!
https://tinyurl.com/3aewk286
#EvoDevo #MolecularEvolution #bioinformatics #PopulationGenomics #RNAseq #PostDoc
Postdoc job opportunity! We're looking for early career researcher in evolutionary genomics to study the relation between intra-specific gene expression variability, polymorphism, and macro-evolutionary rates. We have all of the data in 3 fishes and amphioxus, just waiting for your expertise and enthusiasm!
https://tinyurl.com/3aewk286
#EvoDevo #MolecularEvolution #bioinformatics #PopulationGenomics #RNAseq #PostDoc

Excited to read this, I've been worried about the recurrence of these peaks in #PSMC graphs for years. Also, just on time before we submit one (a first for me). #PopulationGenetics #PopulationGenomics #MethodsMatter
https://bsky.app/profile/leonhilgers.bsky.social/post/3lhl5ti3nec25

(If Mastodon doesn't show the Bluesky post: "Avoidable false PSMC population size peaks occur across numerous studies" https://doi.org/10.1016/j.cub.2024.09.028)

Leon Hilgers (@leonhilgers.bsky.social)

‼️These #PSMC #peaks are #artifacts‼️ Seen #PSMC results like this🤔? They are caused by ill-set parameters, #very #common, and #easy #to #solve! For details see 🧵& OA paper @currentbiology.bsky.social 🙂🐢🧬🎉! https://cell.com/current-biology/fulltext/S0960-9822(24)01239-9

Bluesky Social

Really had to read this article for my current project:

Raynaud et al. 2023 “Performance and limitations of linkage-disequilibrium-based methods for inferring the genomic landscape of recombination and detecting hotspots: a simulation study”

https://peercommunityjournal.org/articles/10.24072/pcjournal.254/

#SciArticleScreening #PopulationGenetics #PopulationGenomics #PCI

Performance and limitations of linkage-disequilibrium-based methods for inferring the genomic landscape of recombination and detecting hotspots: a simulation study

Associate Professor in Zoology (268410) | University of Oslo

Job title: Associate Professor in Zoology (268410), Employer: University of Oslo, Deadline: Sunday, February 23, 2025

Jobbnorge.no

So I wrote a quick step-by-step procedure to apply False-Discovery rate correction on HWE tests, starting from a VCF:

https://www.normalesup.org/~glouvel/blog/false-discovery-rate-correction-for-hardy-weinberg-tests-on-a-vcf/

#PopulationGenomics #Bioinformatics

Guillaume Louvel - False-Discovery rate correction for Hardy-Weinberg tests on a <span class="caps">VCF</span>

It is common to apply a “quality check” filter on a VCF file to retain only variants that do not depart from a neutrality expectation, namely the...